Flexibel und unabhängig – Einstieg in die Eigenerzeugung

​​Die Nutzung von Eigenstrom (also selbst erzeugtem und verbrauchtem Strom) ist in den vergangenen Jahren das häufigste Nutzungskonzept für dezentrale Erzeugungsanlagen geworden. Der Boom hat sich durch die EEG-Novelle zwar etwas abgekühlt, jedoch ist in den meisten Fällen eine Umsetzung nach wie vor wirtschaftlich.
 
Noch im Jahr 2013 warnte der BDI vor umfangreichen Firmenschließungen und einer Abwanderungswelle aufgrund der hohen Strompreise der deutschen Wirtschaft. Diese Entwicklung ist nicht eingetreten, unbenommen bleibt aber, dass die Strompreise eine zunehmende Belastung insbesondere für mittelständische Unternehmen darstellen. Ursache für die steigende Tendenz bei den Beschaffungskosten sind nicht zunehmende Energiepreise, sondern die in der Vergangenheit auf über 50 Prozent gestiegenen Staatsumlagen (EEG-Umlage, Stromsteuer, Offshore-Haftungsumlage, §19-Umlage, AbLaV-Umlage, KWKG-Umlage).
 
Die Versorgung mit selbst erzeugtem Strom stellt häufig eine interessante Option für Unternehmen dar, um die Energiekosten zu senken, insbesondere dann, wenn auch ein signifikanter Wärme- und/oder Kältebedarf vorhanden ist. Während eigenverbrauchter Strom aus Bestandsanlagen auch weiterhin unter bestimmten Voraussetzungen vollumfänglich von der EEG-Umlage befreit sein kann, fällt nach dem ab dem 1. August 2014 geltenden novellierten Erneuerbare-Energien-Gesetz (EEG 2014) auch für eigenerzeugten und selbstverbrauchten Strom in der Regel die EEG-Umlage an. Gegebenenfalls ist eine „Ermäßigung” möglich, sofern bestimmte weitere Voraussetzungen, wie z.B. Hocheffizienz bei Kraft-Wärme-Kopplungs-Anlagen und räumliche und messtechnische Vorgaben, eingehalten werden. Die Eigenversorgung kann aber auch nach den Regelungen des EEG 2014 zu einem vollständigen Wegfall der EEG-Umlage, z.B. für so genannte Kleinanlagen, führen. Bestenfalls führt der Aufbau einer Eigenversorgung somit zum Entfallen sowohl der Stromsteuer als auch der EEG-Umlage hinsichtlich der eigenerzeugten Strommengen. Sofern das Netz der allgemeinen Versorgung nicht genutzt wird, fallen darüber hinaus keine Netzentgelte und netzbezogene Umlagen und Abgaben an. Im Falle der Nutzung einer hocheffizienten Kraft-Wärme-Kopplungs-Anlage können die eingesetzten Brennstoffe zudem von der Energiesteuer entlastet werden.
 
Die Entscheidung für oder gegen die Umsetzung eines Eigenstromprojektes ist über einen Energiekostenvergleich zu treffen: Liegen die Stromgestehungskosten nachhaltig über oder unter den aktuellen bzw. künftigen Strombezugskosten je Kilowattstunde?
 
Die Strombezugskosten können als Vollkosten der Stromrechnung entnommen werden, wobei bestehende Privilegierungsoptionen, die ggfs. erst rückwirkend ausbezahlt werden, sowie Tarifunterschiede (HT/NT-Zeiten) ebenfalls berücksichtigt werden müssen.
 
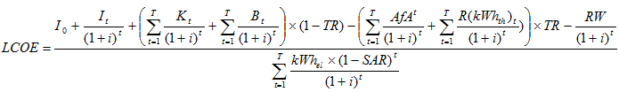
Die zum Vergleich notwendigen Stromgestehungskosten (Levelized Costs of Energy = LCOE) werden vereinfacht über die diskontierten Kosten des Projektlebenszyklus im Verhältnis zu den in dieser Zeit erzeugten diskontierten Strommengen berechnet. Eine mögliche Formel ist die folgende:
LCOE
Mit
 
I0 = Anfangsinvestition
It = (Ersatz-) Investition im Jahr t
Kt = Betriebsaufwendungen im Jahr t
AfAt = Abschreibungssumme über t Jahre
i = Kalkulationszinssatz (Diskontierungsfaktor)
R(kWhth) = Rückflüsse aus dem Wärmeverkauf
kWh = erzeugte Energie im Jahr t

B = Einsatzstoffkosten im Jahr t
RW = Restwert zum Ende der Laufzeit
SAR = Systemdegradation/Effizienzverluste ​
 
Wie bei allen Diskontierungsansätzen üblich, sind die Wahl des Kalkulationszinssatzes (i) sowie die Festlegung des Betrachtungszeitraumes (t) entscheidende Faktoren für die Höhe der spezifischen Stromgestehungskosten. Werden die Betrachtungszeiträume an die technische Anlagennutzungsdauer angelehnt und die Diskontierung in der Höhe der Refinanzierungskosten (WACC) gewählt, so liegen die Stromgestehungskosten unter Verwendung von heute erprobten Technologien zur dezentralen Stromerzeugung wie Photovoltaik, Wind oder Blockheizkraftwerke nahezu in allen Fällen unter den (externen) Strombezugskosten. Die Grundlage hierfür ist natürlich, dass diverse Strombestandteile bei der Eigenstromnutzung nicht anfallen.
 
 

Vorteil einer Eigenstromerzeugung in Blockheizkraftwerken ist, dass auch für den selbst verbrauchten Strom der KWKG-Zuschlag in Anspruch genommen werden kann, während bei EEG-Anlagen die Vergütung nach dem EEG unter anderem an die Netzeinspeisung geknüpft ist.
 

Die Wirtschaftlichkeitssituation eines Eigenstromprojektes stellt sich zudem anders dar, wenn für die Verwendung des selbst erzeugten Stromes das Netz der allgemeinen Versorgung genutzt werden muss. In diesem Fall sind nicht nur die Netzentgelte und die an die Netzentgelte gekoppelten Umlagen auf den Eigenstrom zu beaufschlagen, es fällt zudem die volle EEG-Umlage sowie, je nach räumlicher Entfernung der Stromerzeugung zum Stromverbrauch, auch die Stromsteuer an.
 
Zur optimalen Anlagenauslegung ist neben der Prüfung der natürlichen Potenziale (Windhöffigkeit, solare Strahlungswerte oder auch die Verfügbarkeit eines Gasanschlusses) auch die Analyse der Jahreslastgänge der Verbraucher erforderlich. Nur mit genauer Kenntnis der Lastgänge kann in iterativen Optimierungsverfahren die beste Anlagengröße ermittelt werden.
 

In der Praxis scheitert die Umsetzung von Eigenstromprojekten häufig an den internen Renditevorgaben oder Amortisationsdauern für Investitionen. Während Blockheizkraftwerke sich in vielen Fällen noch in Spannen unter vier Jahren amortisieren, benötigen Photovoltaikanlagen Zeiträume von acht bis zehn Jahren. Jedoch kann durchaus der Standpunkt vertreten werden, dass Photovoltaikanlagen als Effizienztechnologie einzustufen sind und als fester Bestandteil des Gebäudes den Wert der Immobilie erhöhen und folglich nicht den gleichen Rentabilitätsanforderungen unterworfen sind. Zudem sprechen strategische Überlegungen wie eine langfristige Teilabsicherung gegen steigende Strompreise oder Imagegründe für die Umsetzung von nachhaltigen Eigenstromprojekten.
 
Zuletzt aktualisiert am 11.03.2015

Kontakt

Contact Person Picture

Benjamin Hufnagel

Wirtschaftsingenieur (B.Eng.), M.A. Europäische Energiewirtschaft

Associate Partner

+49 911 9193 3570

Anfrage senden

Befehle des Menübands überspringen
Zum Hauptinhalt wechseln
Deutschland Weltweit Search Menu